큐
큐(Queue)
추상적 자료형으로서의 큐
큐 정의
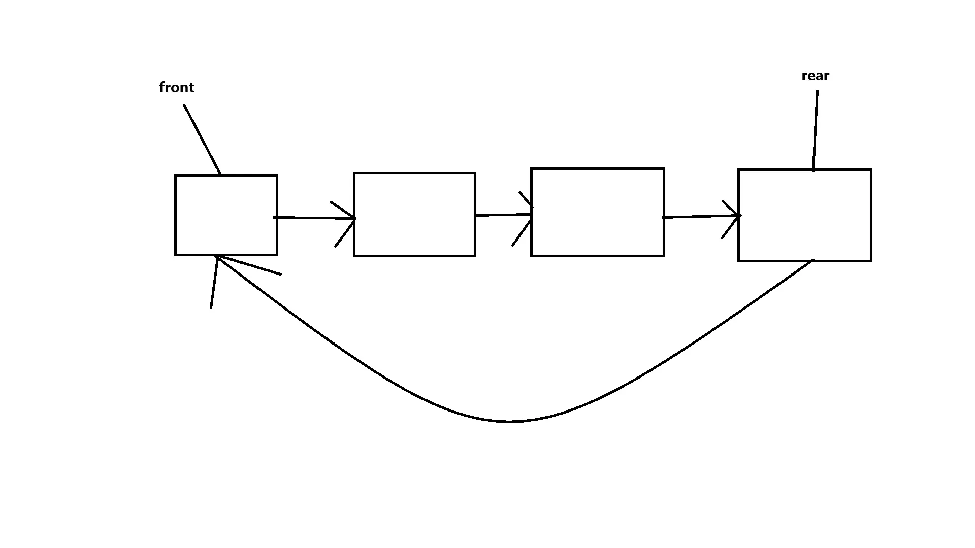
큐는 FIFO(First In, First Out; 선입선출)의 자료구조로
먼저 들어간 자료가 먼저 출력되는 형태입니다.
그림으로는 아래와 같이 나타낼 수 있습니다.

데이터가 들어가는 쪽인 큐의 뒤쪽은 rear라 부르고
데이터가 나오는 쪽인 큐의 앞쪽은 front라 부릅니다.
큐는 데이터의 삽입, 삭제가 빠르고 구현이 어렵지 않아 많은 곳에서 사용됩니다.
대표적으로 Window API의 메시지 큐, 네트워크, BFS(넓이 우선 탐색) 알고리즘 구현등 여러곳에서 사용되고 있습니다.
큐를 정의하는 동작
큐가 정의하는 연산은 여러가지있지만 핵심적인 연산은 다음과 같습니다.
- 인큐(Enqueue) : 큐에 새로운 데이터를 추가하는 연산입니다. 데이터는 큐의 맨 뒤(rear)에 삽입됩니다.

- 디큐(Dequeue) : 큐에서 데이터를 꺼내는 연산입니다. 큐의 맨 앞(front)에 있는 데이터를 제거하고 반환합니다.

- 피크(Peek) : 큐의 맨 앞(front)에 있는 데이터를 조회하는 연산입니다.

- IsEmpty : 큐가 비어있는지 확인하는 연산입니다.

큐를 구현하는 방법
- 배열을 이용한 큐 구현
배열을 사용한 큐 구현의 주요 특징은 다음과 같습니다:
front와 rear 변수를 사용하여 큐의 앞과 뒤를 관리합니다.
enqueue 연산: rear를 1 증가시키고 해당 위치에 데이터를 삽입합니다.
dequeue 연산: front를 1 증가시켜 데이터를 논리적으로 제거합니다.
class ArrayQueue {public: ArrayQueue(int size) { arr = new int[size]; capacity = size; front = rear = -1; }
void enqueue(int x) { if (isFull()) { cout << "Queue is full" << endl; return; } if (isEmpty()) front = 0; rear = (rear + 1) % capacity; arr[rear] = x; }
int dequeue() { if (isEmpty()) { cout << "Queue is empty" << endl; return -1; } int item = arr[front]; if (front == rear) front = rear = -1; else front = (front + 1) % capacity; return item; }
bool isEmpty(); bool isFull();private: int* arr; int front, rear; int capacity;
};
- 연결 리스트를 이용한 큐 구현
연결 리스트를 사용한 큐 구현의 주요 특징은 다음과 같습니다:
노드를 사용하여 데이터를 저장하고 연결합니다.
front와 rear 포인터를 사용하여 큐의 앞과 뒤를 관리합니다.
enqueue 연산: 새 노드를 생성하여 rear에 연결합니다.
dequeue 연산: front 노드를 제거하고 다음 노드로 이동합니다.
struct Node { int data; Node* next; Node(int d) : data(d), next(nullptr) {}};
class LinkedListQueue {public: LinkedListQueue() : front(nullptr), rear(nullptr) {}
void enqueue(int x) { Node* temp = new Node(x); if (rear == nullptr) { front = rear = temp; return; } rear->next = temp; rear = temp; }
int dequeue() { if (isEmpty()) { cout << "Queue is empty" << endl; return -1; } Node* temp = front; int item = front->data; front = front->next; if (front == nullptr) rear = nullptr; delete temp; return item; }
bool isEmpty();
private: Node *front, *rear;
};
- 원형 큐 구현
배열을 사용한 구현의 문제점을 해결하기 위해 원형 큐를 사용합니다:
배열의 끝에 도달하면 다시 처음으로 순환합니다.
(rear + 1) % capacity(큐가 꽉 차면 처음부터 다시 채움)를 사용하여 원형 구조를 구현합니다.
class CircularQueue {public: CircularQueue(int size) { arr = new int[size]; capacity = size; front = rear = -1; }
void enqueue(int x) { if (isFull()) { cout << "Queue is full" << endl; return; } if (isEmpty()) front = 0; rear = (rear + 1) % capacity; arr[rear] = x; }
int dequeue() { if (isEmpty()) { cout << "Queue is empty" << endl; return -1; } int item = arr[front]; if (front == rear) front = rear = -1; else front = (front + 1) % capacity; return item; }
bool isEmpty(); bool isFull();
private: int* arr; int front, rear; int capacity;
};
C++에서의 큐
#include <queue>
std::queue<int> q; // int 형의 큐 선언큐의 주요 멤버 변수
template <class _Ty, class _Container = deque<_Ty>>class queue{ // 기타코드...protected: // 덱을 주어진 템플릿 인자의 자료형으로 생성 _Container c{};}이 코드처럼 C++ STL에서의 큐는 STL의 덱을 이용하도록 설계되어 있습니다.
큐의 주요 메소드
// 큐가 비었는지 확인_NODISCARD_EMPTY_MEMBER_NO_CLEAR bool empty() const noexcept(noexcept(c.empty())) /* strengthened */ { return c.empty();}
// 큐의 크기 확인_NODISCARD size_type size() const noexcept(noexcept(c.size())) /* strengthened */ { return c.size();}
// 큐의 front(앞)의 참조자 반환_NODISCARD reference front() noexcept(noexcept(c.front())) /* strengthened */ { return c.front();}
// 큐의 front(앞)의 상수 참조자 반환_NODISCARD const_reference front() const noexcept(noexcept(c.front())) /* strengthened */ { return c.front();}
// 큐의 rear(뒤)의 참조자 반환_NODISCARD reference back() noexcept(noexcept(c.back())) /* strengthened */ { return c.back();}
// 큐의 rear(뒤)의 상수 참조자 반환환_NODISCARD const_reference back() const noexcept(noexcept(c.back())) /* strengthened */ { return c.back();}
// 큐에 요소 추가 (l-value;좌측값)void push(const value_type& _Val) { c.push_back(_Val);}
// 큐에 요소 추가 (r-value;우측값)void push(value_type&& _Val) { c.push_back(_STD move(_Val));}마찬가지로 큐의 메소드 또한 덱의 메소드를 호출하는 형태로 구현되어있습니다.
덱
덱(Deque; Double-Ended Queue)
추상적 자료형으로서의 덱
덱의 정의
덱은 양쪽 끝에서 삽입과 삭제가 가능한 자료구조입니다. 덱은 큐와 스택의 특성을 모두 가지고 있어, 데이터의 FIFO(First In, First Out; 선입선출)와 LIFO(Last In, First Out; 후입선출)을 유연하게 조합할 수 있습니다. 덱은 리스트와 유사하지만, 항목의 추가와 삭제가 주로 양 끝에서 이루어집니다.

덱의 주요 동작
덱이 정의하는 동작은 여러가지가 있지만 주요한 동작은 다음과 같습니다.
- 덱 앞 쪽에 요소 추가
- 덱 뒤 쪽에 요소 추가
- 덱 앞 쪽의 요소 반환
- 덱 뒤 쪽의 요소 반환
- 덱 앞 쪽 요소 삭제
- 덱 뒤 쪽 요소 삭제
- 덱이 가득 찼는지 확인
이러한 연산들은 일반적으로 의 시간복잡도를 가집니다.
C++ STL에서의 덱
#include <deque>
std::deque<int> dq;덱의 주요 멤버 변수
template <class _Ty, class _Alloc = allocator<_Ty>>class deque{ using _Alty = _Rebind_alloc_t<_Alloc, _Ty>; using _Scary_val = _Deque_val<conditional_t<_Is_simple_alloc_v<_Alty>, _Deque_simple_types<_Ty>, _Deque_iter_types<_Ty, typename _Alty_traits::size_type, typename _Alty_traits::difference_type, typename _Alty_traits::pointer, typename _Alty_traits::const_pointer, _Mapptr>>>;
// 메모리를 할당하고 관리하는 객체 _Compressed_pair<_Alty, _Scary_val> _Mypair;}STL에서 덱은 위 코드처럼 템플릿을 이용하여 작성되어 있습니다. _Compressed_pair는 위 코드에서 _Alty가 상태를 가지지 않을 때 메모리 오버헤드를 줄이기 위해 사용합니다. _Alty는 Allocator라고 부르는 덱의 메모리 할당과 해제를 관리하는 객체입니다. STL의 덱에서는 메모리 상에서 연속된 단일 배열을 사용하지않고 한 블록,청크 단위로 메모리를 할당합니다.
Allocator는 std::allocator_traits::allocate()를 사용하여 새로운 청크를 할당하고 std::allocator_traits::construct()를 호출하여 개별 객체의 생성자를 호출합니다. 특정 청크, 블록이 필요없어지면 std::allocator_traits::destroy()를 호출하여 객체의 소멸자를 실행하고 객체가 모두 소멸되면 std::allocator_traits::deallocate()를 호출하여 메모리를 해제합니다.
덱은 각 청크를 포인터 배열을 이용해서 관리합니다.
template <class _Val_types>class _Deque_val : public _Container_base12{ public: using value_type = typename _Val_types::value_type; using size_type = typename _Val_types::size_type; using difference_type = typename _Val_types::difference_type; using pointer = typename _Val_types::pointer; using const_pointer = typename _Val_types::const_pointer; using reference = value_type&; using const_reference = const value_type&; using _Mapptr = typename _Val_types::_Mapptr;
// 기타 코드...
_Mapptr _Map; // pointer to array of pointers to blocks size_type _Mapsize; // size of map array, zero or 2^N size_type _Myoff; // offset of initial element size_type _Mysize; // current length of sequence};위 코드에서 _Map이 그 역할을 수행하고 포인터 배열의 사이즈는 2의 n승을 가집니다.

덱의 주요 메소드
덱의 주요한 메소드는
- push_back()
- push_front()
- pop_back()
- pop_front() 등이 있습니다.
push_back과 push_front는 해당 블록이 가득차면 새 블록을 추가하는 방식이고
pop_back과 pop_front도 지우는 데이터가 블록의 마지막 데이터면 블록도 같이 할당 해제하는 방식으로 구현됩니다.